ZZ -> nunuqq Analysis - Run 2 (13 TeV)
We are starting this analysis with JETS and Missing Energy (MET) in the final state
ANALISIS NOTE : AN-15-220
Instructions to download and compile the note:
On an lxplus machine, get the document by doing:
> svn co -N svn+ssh://svn.cern.ch/reps/tdr2 myDir # where myDir is a placeholder for a name of your choice
> cd myDir
> svn update utils
> svn update -N notes
> svn update notes/AN-15-220
> eval `./notes/tdr runtime -csh` # for tcsh. use -sh for bash.
> cd notes/AN-15-220/trunk
# (edit the template, then to build the document)
> tdr --style=an b AN-15-220
The last command produce the pdf file:
AN-15-220_temp.pdf
located in :
../myDir/notes/tmp
you can use
gnome to open the document:
gnome-open AN-15-220_temp.pdf
Note that the configuration file for subversion is located in:
/afs/cern.ch/user/d/dromeroa/.subversion
To run the pas for now in dropbox
./tdr build
B2G -16-999.tex
PAS NOTE : B2G -16-014
cd myDiR
eval `./notes/tdr runtime -sh`
cd /notes/B2G-16-014/trunk
tdr --style=pas b B2G-16-014
TO DO LIST
| TASK |
STATUS |
EXPECT DEADLINE |
| Study N-1 cut to test the efficiency of our cut flow |
done |
|
| Study the correlation between variables to select 2 of them to apply ABCD method |
ongoing |
2 (after trees prod.) |
| Estimate the shape of the QCD distribution in MT for signal region (to do shape analysis) |
not yet started |
2 (after trees prod.) |
| Do plots of: dR(fatJet, LeadingAk4) and dR(fatJet, SubLeadingAk4) for signal events both: 1 and 2 TeV all in the same plot and normalized |
not yet started |
|
| Find cross-section for 2TeV RSG samples from PHYS14 (ask Jose???) --then include this samples in your cut-flow table |
done |
|
| Verify if in the defined regions we have enough statistics to compare the shapes of the distributions --Important check if the new QCD MCs in 7_4_X have better stats than PHYS14 samples (find out the number of events of the samples and if is neccessary talk with the combiners) Watch the exercise from DAS to find out the samples |
not yet started |
2 (after trees prod.) |
| Reference Trigger (PFHT475) Do the plot in function of HT Implement Trigger options in the EDBR2 in order to be ready to test with data --define a strategy for trigger efficiency computation in data: in principle we plan reference method --and the reference trigger can be defined using MC (check if is unbiased) --For the paths that consider HT variable, do trigger eff as a function of HT --Then add HT variable in the trees and do control plots for this variable as well. Define it as: HT = Scalar sum of pT for all ak4jets with pT>30GeV |
in progress |
1 (for new trees) |
| Include Photon vetoes in the baseline selection (To be tested with PHYS14 samples) now with SPRING15
---is important to do a study of the mitigation of the process WGamma+Jets after this veto. Then we use the samples from WW semilpetonic analysis (WGamma+Jets) for these studies
|
in progress |
1 (for new trees) |
| For PHYS14 (for SPRING 15) samples studies...include WGamma+Jets and Z>ll+Jets (see study above) |
skip |
1 (for new trees) |
| Migrate to CMSSW_7_4_X with the EDBR2 |
done |
|
| Redo the optimization of Njets and dphi(jet,jet) using 7_4_X (probably include MT>600GeV in the baseline selection) |
not yet started |
3 (after QCD study) |
| Investigate the MET no Mu and no electrons |
not yet started |
|
|
|
| Investigate selection to mitigate QCD |
not yet started |
2 (after trees prod.) |
| Add new variables for QCD mitigation |
done |
|
| Think about include b tag veto for the ttbar samples |
not yet started |
3 (after QCD study) |
Do plots for JET loose ID usando todos los backgrounds y usar los cortes de monojet |
|
|
Do efficieny plots for MET filters, hacer un fit a una constante y obtener el valor de la eficiencia |
|
|
| Indicar que significa loose en el filter, cuales filters se estan usando y cuales HLT estamos usando |
|
|
NEW FILTERS MET and MET reccomendations
https://twiki.cern.ch/twiki/bin/viewauth/CMS/MissingETOptionalFiltersRun2
https://twiki.cern.ch/twiki/bin/view/CMS/MissingETUncertaintyPrescription#Instructions_for_7_4_X
MET FILTERS CODE
1.
HBHENoiseFilter
http://cmslxr.fnal.gov/source/CommonTools/RecoAlgos/plugins/HBHENoiseFilterResultProducer.cc
2.
CSCTightHaloFilter
http://cmslxr.fnal.gov/source/RecoMET/METFilters/plugins/CSCTightHaloFilter.cc
http://cmslxr.fnal.gov/source/RecoMET/METFilters/plugins/CSCTightHalo2015Filter.cc
3.
EEBadScFilter
cmslxr.fnal.gov/source/RecoMET/METFilters/plugins/EEBadScFilter.cc
4. Primaryvertexfilter
http://cmslxr.fnal.gov/source/RecoMET/METFilters/python/primaryVertexFilter_cfi.py
HBHE Noise Filter Recipe
https://twiki.cern.ch/twiki/bin/view/CMS/HCALNoiseFilterRecipe
MET RECIPIES
https://twiki.cern.ch/twiki/bin/viewauth/CMS/MissingETRun2Corrections
https://twiki.cern.ch/twiki/bin/view/CMS/MissingETUncertaintyPrescription#Instructions_for_7_4_X
https://twiki.cern.ch/twiki/bin/view/CMS/JECDataMC#Recommended_for_MC
check the git:
https://github.com/UHH2/UHH2/blob/master/core/python/ntuplewriter.py
https://github.com/cms-sw/cmssw/blob/CMSSW_7_4_X/PhysicsTools/PatAlgos/test/corMETFromMiniAOD.py
https://github.com/cms-sw/cmssw/blob/CMSSW_7_4_X/PhysicsTools/PatUtils/python/tools/runMETCorrectionsAndUncertainties.py
For last JEC in db
https://github.com/cmstas/NtupleMaker/wiki/How-to-find-the-latest-JEC-payloads-with-CMS3-tag-CMS3_V07-04-08-and-beyond
Not possible use
METnoHF prescription for MC in CMSSW_7_4_12, in data this collection is available, have to wait for new MC, or run in 7_4_11 even data?
https://hypernews.cern.ch/HyperNews/CMS/get/met/411.html
To rerun MET:
https://github.com/UZHCMS/EXOVVNtuplizerRunII/blob/master/Ntuplizer/config_data.py
To check how access some objects in miniAOD
https://github.com/cms-sw/cmssw/blob/CMSSW_7_4_14/DataFormats/PatCandidates/interface/Electron.h
For check what the global tag contains
https://cms-conddb.cern.ch/browser/
MC SAMPLES EXOTICA
https://twiki.cern.ch/twiki/bin/viewauth/CMS/EXOTICAMC
1. Theory
2. Signal Topology
We will search for a heavy resonance X in the channel:
pp -> X -> ZZ -> 2nu2q (1 V-tagged jet) (
1 fat jet)
Why this channel? What is interisting on it?
Why only gluon fusion?
In this signal topology, the final state are a fat jet and missing energy.
Cone aperture : R ≈ 2m/pt
By conservation of momentum, the resonance will be created almost at rest, so the Z bosons decay back-to back
3. Signal Models
Several Extensions to the Standard Model predict new massive particles which can decay to heavy boson pairs.
Neutral Resonances (ZZ):
Here we present some of the most popular models that predicts the existence of a new heavy neutral resonance which decay in ZZ:
(We have to include the plots of the branching ratio)
Randall-Sundrum Graviton (RS G*)
- Traditional benchmark model with extradimension
- Spin-2 KK excitation
- qq annihilation and gluon fusion production.
- BRs are democratic
Bulk RS graviton (Bulk G*)
- Spin 2 KK excitations
- Inclusive production is gluon fusion
- BRs to massive particles are dominant
Radion
- Spin-0 KK excitation
- Inclusive production is gluon fusion
- BRs to massive particles are dominant
Z boson braching ratio
From PDG:
The Z boson have three decay channels:
• Br(Z -> nunu) ≈ 20 % -> 0.2
• Br(Z –> ll ) ≈ 10 % -> 0.1
• Br(Z -> hadrons ) ≈ 69.91% -> 0.6991
Br(W -> hadrons) ≈ 67.41% -> 0.6741
and for our process:
BF(Z->nunu,Z->qq) = 2* (21/100)*(69/100) ≈ 0.29 = 29%
When we run the program after generator- level selection, we obtain:
For W:
BF(Z->nunu,W->qq) = 2* (20/100)*(67.41/100) ≈ 0,26964 = 26.9 %
4. Main Backgrounds
It will be good to find out which is the level of accuracy of this samples, LO, NLO?
5. Variables to discriminate between Signal and Background
- Leading Jet pT of the event
- Missing trasnverse energy
- Number of jets in the event with pT >30 GeV
- Azimuthal distance between the leading and subleading jet in the event
- Leading jet invariant mass of the event
- Jet-MET transverse mass of the event (Graviton transverse mass)
6. Validation Plots
Location in access:
/home/davidromero/ANALISIS_TESIS_Zhad_Znunu/CMSSW_7_2_2_patch1/src/PrivateCode/MiniAnalyzer/python
7. Trigger Studies
Selection:
- JETS
- pT > 100 GeV
- abs(eta) < 2.4
- 60 GeV < pruned jet mass < 110 GeV
- MET
The Efficiency definition:
Inspect over PHYS 14 tsg samples
- Tested Trigger Paths:
- [1] HLT_AK8PFJet360TrimMod_Mass30_v1
- [2] HLT_PFMET170_NoiseCleaned_v1
- [3] HLT_PFHT350_PFMET120_NoiseCleaned_v1
- [4] HLT_PFHT900_v1
- [5] [1] OR [2]
- [6] [2] OR [3]
8. JETS
https://twiki.cern.ch/twiki/bin/view/CMS/JetID#Recommendations_for_13_TeV_data
the file we are using to apply the jet ID
http://cmslxr.fnal.gov/source/PhysicsTools/SelectorUtils/interface/PFJetIDSelectionFunctor.h
JEC UNCERTAINTIES
https://hypernews.cern.ch/HyperNews/CMS/get/jes/568/1.html
https://twiki.cern.ch/twiki/bin/view/CMSPublic/WorkBookJetEnergyCorrections#JetCorUncertainties
JET ENERGY RESOLUTION
https://twiki.cern.ch/twiki/bin/viewauth/CMS/JetResolution
https://twiki.cern.ch/twiki/bin/view/CMSPublic/WorkBookJetEnergyResolution
https://github.com/blinkseb/cmssw/blob/jer_fix_76x/JetMETCorrections/Modules/plugins/JetResolutionDemo.cc#L74
To test the implementation
https://twiki.cern.ch/twiki/bin/view/CMS/JERCReference
code:
https://github.com/cms-jet/JMEReferenceTable
For use the Smeared procedure have to add:
git cms-merge-topic blinkseb:smeared_jet_producer
JEC uncertainties sources
https://twiki.cern.ch/twiki/bin/view/CMS/JECUncertaintySources
Mandatory Jet Energy Corrections at CMS.
The minimum correction levels to be applied on any CMS analysis using Monte Carlo and Data are:
Any analysis might place higher correction levels if necessary and available. Software instructions for applying these corrections can be found
here.
8.1 PILE UP JET ID
https://twiki.cern.ch/twiki/bin/viewauth/CMS/PileupJetID#Information_for_13_TeV_data_anal
Also check:
https://indico.cern.ch/event/450785/contribution/4/attachments/1167544/1683856/PUIntegration.pdf
classes for calculating MVA ID
https://github.com/cms-sw/cmssw/blob/CMSSW_8_0_X/RecoJets/JetProducers/interface/MVAJetPuId.h
https://github.com/cms-sw/cmssw/blob/CMSSW_8_0_X/RecoJets/JetProducers/interface/PileupJetIdAlgo.h
They are called from
https://github.com/cms-sw/cmssw/blob/CMSSW_8_0_X/RecoJets/JetProducers/plugins/MVAJetPuIdProducer.cc
https://github.com/cms-sw/cmssw/blob/CMSSW_8_0_X/RecoJets/JetProducers/plugins/PileupJetIdProducer.cc
Main configuration files:
https://github.com/cms-sw/cmssw/blob/CMSSW_8_0_X/RecoJets/JetProducers/python/PileupJetID_cfi.py
Variables for ID are stored in :
PileupJetIdentier.h
https://github.com/cms-sw/cmssw/blob/CMSSW_8_0_X/DataFormats/JetReco/interface/PileupJetIdentifier.h
weights
https://github.com/cms-data/RecoJets-JetProducers
B TAG
1. Reccomendations for 13
TeV
https://twiki.cern.ch/twiki/bin/viewauth/CMS/BtagRecommendation76X
2. Btag POG
https://twiki.cern.ch/twiki/bin/viewauth/CMS/BtagPOG
3. Reccomendations and scale factors
https://twiki.cern.ch/twiki/bin/viewauth/CMS/BtagRecommendation
papers:
http://cds.cern.ch/record/2138504/files/BTV-15-001-pas.pdf
http://iopscience.iop.org/article/10.1088/1748-0221/8/04/P04013/pdf
9. LEPTONS IDENTIFICATION
Electrons:
https://twiki.cern.ch/twiki/bin/viewauth/CMS/CutBasedElectronIdentificationRun2
Muons
https://twiki.cern.ch/twiki/bin/view/CMS/SWGuideMuonIdRun2
Taus
https://twiki.cern.ch/twiki/bin/view/CMS/TauIDRecommendation13TeV
How to use weights QCD LHE
https://twiki.cern.ch/twiki/bin/viewauth/CMS/LHEReaderCMSSW#How_to_use_weights
Punzi Significance
Reference
http://arxiv.org/pdf/physics/0308063v2.pdf
The Punzi significance is defined by:
Ps = efficiency of the signal / (1 + sqrt (Background events) )
for each cut that we want to optimize.
Where
efficiency of the signal = events that pass the cut / total number of events
For the Background events, we have to take in account that we could have different samples of backgrounds, in that case:
Background events = Sum over samples of : (weight) * (Number of backgrounds evetns after the cut)
where weight is = Luminosity of the data (target) / Luminosity of the Background sample
In our case :
Luminosity of the data = 3 / fb (our target luminosity)
Luminosity of the Backgroubd = Number of events of the sample (total) / cross section of the sample
Note that for the weight we need to use the entire number of events from the background sample (without cut).
Example:
Suppose we have to samples of Background :
Sample Number of events Cross section
B1 1000 10
B2 20000 20
Suppose we apply a cut call cut1, so after cut 1:
Sample Number of events
B1 300
B2 150
So the Background events = w1* ( 300) + w2 * (150)
where w1 = 3 / (1000/10) = 0.03
where w2 = 3 / (20000/20) = 0.003
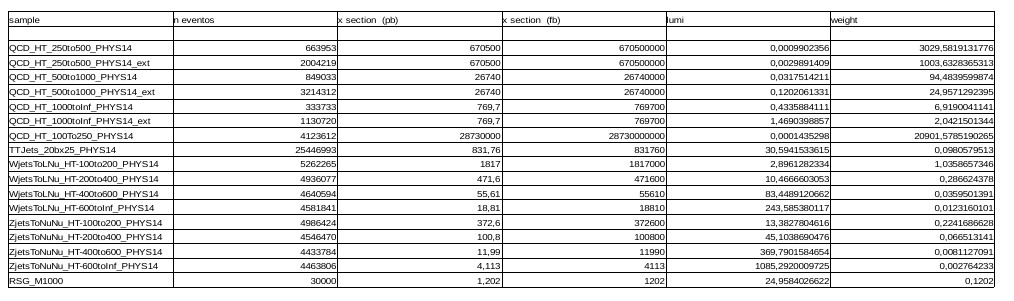
Cut Flow table
Table of weights
Have to check, not all valid!
have to update the cross sections from exoVV page and put the xsec and number of events
QCD
dataset=
/QCD_HT100to200_TuneCUETP8M1_13TeV-madgraphMLM-pythia8/RunIISpring15DR74-Asympt25ns_MCRUN2_74_V9-v2/MINIAODSIM
dataset=
/QCD_HT200to300_TuneCUETP8M1_13TeV-madgraphMLM-pythia8/RunIISpring15DR74-Asympt25ns_MCRUN2_74_V9-v2/MINIAODSIM
dataset=/QCD_HT300to500_TuneCUETP8M1_13TeV-madgraphMLM-pythia8/RunIISpring15DR74-Asympt25ns_MCRUN2_74_V9-v2/MINIAODSIM
dataset=/QCD_HT500to700_TuneCUETP8M1_13TeV-madgraphMLM-pythia8/RunIISpring15DR74-Asympt25ns_MCRUN2_74_V9-v1/MINIAODSIM
dataset=/QCD_HT700to1000_TuneCUETP8M1_13TeV-madgraphMLM-pythia8/RunIISpring15DR74-Asympt25ns_MCRUN2_74_V9-v1/MINIAODSIM
dataset=
/QCD_HT1000to1500_TuneCUETP8M1_13TeV-madgraphMLM-pythia8/RunIISpring15DR74-Asympt25ns_MCRUN2_74_V9-v2/MINIAODSIM
dataset=/QCD_HT1500to2000_TuneCUETP8M1_13TeV-madgraphMLM-pythia8/RunIISpring15DR74-Asympt25ns_MCRUN2_74_V9-v1/MINIAODSIM
dataset=/QCD_HT2000toInf_TuneCUETP8M1_13TeV-madgraphMLM-pythia8/RunIISpring15DR74-Asympt25ns_MCRUN2_74_V9-v1/MINIAODSIM
Z + jets
dataset=/ZJetsToNuNu_HT-100To200_13TeV-madgraph/RunIISpring15DR74-Asympt25ns_MCRUN2_74_V9-v1/MINIAODSIM
dataset=/ZJetsToNuNu_HT-200To400_13TeV-madgraph/RunIISpring15DR74-Asympt25ns_MCRUN2_74_V9-v1/MINIAODSIM
dataset=/ZJetsToNuNu_HT-400To600_13TeV-madgraph/RunIISpring15DR74-Asympt25ns_MCRUN2_74_V9-v1/MINIAODSIM
dataset=
/ZJetsToNuNu_HT-600ToInf_13TeV-madgraph/RunIISpring15DR74-Asympt25ns_MCRUN2_74_V9-v1/MINIAODSIM
W + jets
dataset=/WJetsToLNu_HT-100To200_TuneCUETP8M1_13TeV-madgraphMLM-pythia8/RunIISpring15DR74-Asympt25ns_MCRUN2_74_V9-v1/MINIAODSIM
dataset=/WJetsToLNu_HT-200To400_TuneCUETP8M1_13TeV-madgraphMLM-pythia8/RunIISpring15DR74-Asympt25ns_MCRUN2_74_V9-v1/MINIAODSIM
dataset=/WJetsToLNu_HT-400To600_TuneCUETP8M1_13TeV-madgraphMLM-pythia8/RunIISpring15DR74-Asympt25ns_MCRUN2_74_V9-v3/MINIAODSIM
dataset=/WJetsToLNu_HT-600ToInf_TuneCUETP8M1_13TeV-madgraphMLM-pythia8/RunIISpring15DR74-Asympt25ns_MCRUN2_74_V9-v1/MINIAODSIM
TTJets
As a recommendation we have to use the Powheg
dataset=/TT_TuneCUETP8M1_13TeV-powheg-pythia8/RunIISpring15DR74-Asympt25ns_MCRUN2_74_V9-v2/MINIAODSIM
dataset=/*RSGravToZZ_kMpl01*/RunIISpring15DR74-Asympt*25*/MINIAODSIM
MINIOAD V2 MC BACKGROUND SAMPLES
Z + Jets
| SAMPLE (LO) |
X SECTION (pb) |
NUMBER OF EVENTS |
| /ZJetsToNuNu_HT-100To200_13TeV-madgraph/RunIISpring15MiniAODv2-74X_mcRun2_asymptotic_v2-v1/MINIAODSIM |
280.47 |
5154824 |
| /ZJetsToNuNu_HT-200To400_13TeV-madgraph/RunIISpring15MiniAODv2-74X_mcRun2_asymptotic_v2-v1/MINIAODSIM |
78.36 |
4998316 |
| /ZJetsToNuNu_HT-400To600_13TeV-madgraph/RunIISpring15MiniAODv2-74X_mcRun2_asymptotic_v2-v1/MINIAODSIM |
10.944 |
1018882 |
| /ZJetsToNuNu_HT-600ToInf_13TeV-madgraph/RunIISpring15MiniAODv2-74X_mcRun2_asymptotic_v2-v2/MINIAODSIM |
4.203 |
1008333 |
W + Jets
| SAMPLE (NLO?) * (scale factor k = 1.2) |
X SECTION (pb) |
NUMBER OF EVENTS |
| /WJetsToLNu_HT-100To200_TuneCUETP8M1_13TeV-madgraphMLM-pythia8/RunIISpring15MiniAODv2-74X_mcRun2_asymptotic_v2-v1/MINIAODSIM |
1345 ± 1.2 |
10152718 |
| /WJetsToLNu_HT-200To400_TuneCUETP8M1_13TeV-madgraphMLM-pythia8/RunIISpring15MiniAODv2-74X_mcRun2_asymptotic_v2-v1/MINIAODSIM |
359.7 ± 0.20 |
5221599 |
| /WJetsToLNu_HT-400To600_TuneCUETP8M1_13TeV-madgraphMLM-pythia8/RunIISpring15MiniAODv2-74X_mcRun2_asymptotic_v2-v1/MINIAODSIM |
48.91 ± 0.072 |
1745914 |
| /WJetsToLNu_HT-600ToInf_TuneCUETP8M1_13TeV-madgraphMLM-pythia8/RunIISpring15MiniAODv2-74X_mcRun2_asymptotic_v2-v1/MINIAODSIM |
18.77 ± 0.10 |
1039152 |
QCD
| SAMPLE |
X SECTION (pb) |
NUMBER OF EVENTS |
| /QCD_HT100to200_TuneCUETP8M1_13TeV-madgraphMLM-pythia8/RunIISpring15MiniAODv2-74X_mcRun2_asymptotic_v2-v1/MINIAODSIM |
27540000.0 |
81637494 |
| /QCD_HT200to300_TuneCUETP8M1_13TeV-madgraphMLM-pythia8/RunIISpring15MiniAODv2-74X_mcRun2_asymptotic_v2-v1/MINIAODSIM |
1735000.0 |
18718905 |
| /QCD_HT300to500_TuneCUETP8M1_13TeV-madgraphMLM-pythia8/RunIISpring15MiniAODv2-74X_mcRun2_asymptotic_v2-v1/MINIAODSIM |
366800.0 |
19826197 |
| /QCD_HT500to700_TuneCUETP8M1_13TeV-madgraphMLM-pythia8/RunIISpring15MiniAODv2-74X_mcRun2_asymptotic_v2-v1/MINIAODSIM |
29370.0 |
19664159 |
| /QCD_HT700to1000_TuneCUETP8M1_13TeV-madgraphMLM-pythia8/RunIISpring15MiniAODv2-74X_mcRun2_asymptotic_v2-v1/MINIAODSIM |
6524.0 |
15356448 |
| /QCD_HT1000to1500_TuneCUETP8M1_13TeV-madgraphMLM-pythia8/RunIISpring15MiniAODv2-74X_mcRun2_asymptotic_v2-v1/MINIAODSIM |
1064.0 |
4963895 |
| /QCD_HT1500to2000_TuneCUETP8M1_13TeV-madgraphMLM-pythia8/RunIISpring15MiniAODv2-74X_mcRun2_asymptotic_v2-v1/MINIAODSIM |
121.5 |
3868886 |
| /QCD_HT2000toInf_TuneCUETP8M1_13TeV-madgraphMLM-pythia8/RunIISpring15MiniAODv2-74X_mcRun2_asymptotic_v2-v1/MINIAODSIM |
25.42 |
1912529 |
TTbar
| SAMPLE |
X SECTION (pb) |
NUMBER OF EVENTS |
| /TT_TuneCUETP8M1_13TeV-powheg-pythia8/RunIISpring15MiniAODv2-74X_mcRun2_asymptotic_v2-v1/MINIAODSIM |
831.76 |
19757190 |
Dibosons
| SAMPLE (WW->NNLO), (WZ->NLO), (ZZ->NLO) ** Some scale factor |
X SECTION (pb) |
NUMBER OF EVENTS |
| /WW_TuneCUETP8M1_13TeV-pythia8/RunIISpring15MiniAODv2-74X_mcRun2_asymptotic_v2-v1/MINIAODSIM |
118.7 |
993640 |
| /WZ_TuneCUETP8M1_13TeV-pythia8/RunIISpring15MiniAODv2-74X_mcRun2_asymptotic_v2-v1/MINIAODSIM |
47.13 |
978512 |
| /ZZ_TuneCUETP8M1_13TeV-pythia8/RunIISpring15MiniAODv2-74X_mcRun2_asymptotic_v2-v1/MINIAODSIM |
16.523 |
996944 |
*Note: MLM (from madgraphMLM, MLM stand from MLMangano, matching implemented in ALPGEN see :
http://arxiv.org/pdf/hep-ph/0206293v2.pdf
)
take from :
https://cp3.irmp.ucl.ac.be/projects/madgraph/wiki/Matching
The aim of any parton-jets matching procedure is mainly to avoid overlapping between phase-space descriptions given by matrix-element generators and showering/hadronization softwares in multi-jets process simulation. The motivation for using both at the same time is the following:
- The Parton Shower (PS) Monte Carlo programs such as Pythia and Herwig describe parton radiation as successive parton emissions using Markov chain techniques based on Sudakov form factors. This description is formally correct only in the limit of soft and collinear emissions, but has been shown to give a good description of much data also relatively far away from this limit. However, for the production of hard and widely separated QCD radiation jets, this description breaks down due to the lack of subleading terms and interference. For that case, it is necessary to use the full tree-level amplitudes for the heavy particle production plus additional hard partons.
- The Matrix Element (ME) description diverges as partons become soft or collinear, while the parton shower description breaks down when partons become hard and widely separated
We can distinguish two different philosophies/method types: either based on shower veto and therefore a event reweighting (CKKW method) or events rejection. The latter is the method adopted in the MLM-based schemes. Note that in the CKKW case, partons are clustered in jets with the

algorithm while the original MLM method uses a cone algorithm and minimum

cut. In
MadGraph /MadEvent, there are currently three matching schemes implemented, all based on MLM method. They are called cone- and

-jet MLM and Shower-

respectively. In all cases the parton shower generator is Pythia.
MINIOAD V2 MC SIGNAL SAMPLES
Information
https://github.com/syuvivida/DibosonBSMSignal_13TeV/tree/master/Spin-2
https://github.com/acarvalh/Cross_sections_CMS/blob/master/WED/bulk_KKgrav_decay.txt
https://github.com/acarvalh/Cross_sections_CMS/blob/master/WED/bulk_KKgrav_LHC13.txt
DATA SAMPLES 76X
1. 2015D
dataset=/MET/Run2015D-16Dec2015-v1/MINIAOD
Number of events: 17996789
python file already in the git
2. 2015C
dataset=/MET/Run2015C_25ns-16Dec2015-v1/MINIAOD
Number of events: 106269
python file already in git
MC SAMPLES 76X
Could be v1 or v2 in
RunIIFall15MiniAODv*
QCD
dataset=/QCD_HT*_TuneCUETP8M1_13TeV-madgraphMLM-pythia8/RunIIFall15MiniAODv*-PU25nsData2015v1_76X_mcRun2_asymptotic_*/MINIAODSIM
Version 2
1. dataset=/QCD_HT200to300_TuneCUETP8M1_13TeV-madgraphMLM-pythia8/RunIIFall15MiniAODv2-PU25nsData2015v1_76X_mcRun2_asymptotic_v12-v1/MINIAODSIM
Number of events: 18784379
2. dataset=/QCD_HT300to500_TuneCUETP8M1_13TeV-madgraphMLM-pythia8/RunIIFall15MiniAODv2-PU25nsData2015v1_76X_mcRun2_asymptotic_v12-v1/MINIAODSIM
Number of events: 16909004
3. dataset=/QCD_HT500to700_TuneCUETP8M1_13TeV-madgraphMLM-pythia8/RunIIFall15MiniAODv2-PU25nsData2015v1_76X_mcRun2_asymptotic_v12-v1/MINIAODSIM
Number of events: 19665695
4. dataset=/QCD_HT700to1000_TuneCUETP8M1_13TeV-madgraphMLM-pythia8/RunIIFall15MiniAODv2-PU25nsData2015v1_76X_mcRun2_asymptotic_v12-v1/MINIAODSIM
Number of events: 15547962
5. dataset=/QCD_HT1000to1500_TuneCUETP8M1_13TeV-madgraphMLM-pythia8/RunIIFall15MiniAODv2-PU25nsData2015v1_76X_mcRun2_asymptotic_v12-v1/MINIAODSIM
Number of events: 5049267
6. dataset=/QCD_HT1500to2000_TuneCUETP8M1_13TeV-madgraphMLM-pythia8/RunIIFall15MiniAODv2-PU25nsData2015v1_76X_mcRun2_asymptotic_v12-v1/MINIAODSIM
Number of events: 3939077
7. dataset=/QCD_HT2000toInf_TuneCUETP8M1_13TeV-madgraphMLM-pythia8/RunIIFall15MiniAODv2-PU25nsData2015v1_76X_mcRun2_asymptotic_v12-v1/MINIAODSIM
Number of events: 1981228
Z + jets (Z-> nu nu)
dataset=/ZJetsToNuNu_HT*_13TeV-madgraph/RunIIFall15MiniAODv*-PU25nsData2015v*_76X_mcRun2_asymptotic_*/MINIAODSIM
Version2
1. dataset=/ZJetsToNuNu_HT-100To200_13TeV-madgraph/RunIIFall15MiniAODv2-PU25nsData2015v1_76X_mcRun2_asymptotic_v12-v1/MINIAODSIM
Number of events: 5240199
2. dataset=/ZJetsToNuNu_HT-200To400_13TeV-madgraph/RunIIFall15MiniAODv2-PU25nsData2015v1_76X_mcRun2_asymptotic_v12-v1/MINIAODSIM
Number of events: 5135542
3. dataset=/ZJetsToNuNu_HT-400To600_13TeV-madgraph/RunIIFall15MiniAODv2-PU25nsData2015v1_76X_mcRun2_asymptotic_v12-v1/MINIAODSIM
Number of events: 954435
4. dataset=/ZJetsToNuNu_HT-600ToInf_13TeV-madgraph/RunIIFall15MiniAODv2-PU25nsData2015v1_76X_mcRun2_asymptotic_v12-v1/MINIAODSIM
Number of events: 1033818
W + jets
dataset=/WJetsToLNu*HT*/RunIIFall15MiniAODv*-PU25nsData2015v1_76X_mcRun2_asymptotic_*/MINIAODSIM
Version2
1. dataset=/WJetsToLNu_HT-100To200_TuneCUETP8M1_13TeV-madgraphMLM-pythia8/RunIIFall15MiniAODv2-PU25nsData2015v1_76X_mcRun2_asymptotic_v12-v1/MINIAODSIM
Number of events: 10205377
2. dataset=/WJetsToLNu_HT-200To400_TuneCUETP8M1_13TeV-madgraphMLM-pythia8/RunIIFall15MiniAODv2-PU25nsData2015v1_76X_mcRun2_asymptotic_v12-v1/MINIAODSIM
Number of events: 4949568
3. dataset=/WJetsToLNu_HT-400To600_TuneCUETP8M1_13TeV-madgraphMLM-pythia8/RunIIFall15MiniAODv2-PU25nsData2015v1_76X_mcRun2_asymptotic_v12-v1/MINIAODSIM
Number of events: 1943664
4. dataset=/WJetsToLNu_HT-600ToInf_TuneCUETP8M1_13TeV-madgraphMLM-pythia8/RunIIFall15MiniAODv2-PU25nsData2015v1_76X_mcRun2_asymptotic_v12-v1/MINIAODSIM
Number of events: 1041358
TT Jets
dataset=/TTJets*/RunIIFall15MiniAODv*-PU25nsData2015v*_76X_mcRun2_asymptotic_*/MINIAODSIM
Version2
dataset=/TTJets_TuneCUETP8M1_13TeV-amcatnloFXFX-pythia8/RunIIFall15MiniAODv2-PU25nsData2015v1_76X_mcRun2_asymptotic_v12-v1/MINIAODSIM
Number of events: 38475776
dataset=/TTJets_13TeV-amcatnloFXFX-pythia8/RunIIFall15MiniAODv2-PU25nsData2015v1_76X_mcRun2_asymptotic_v12_ext1-v1/MINIAODSIM
Number of events: 196937036
Dibosons
dataset=/WW*/RunIIFall15MiniAODv*-PU25nsData2015v*_76X_mcRun2_asymptotic_*/MINIAODSIM
Version2
dataset=/WW_TuneCUETP8M1_13TeV-pythia8/RunIIFall15MiniAODv2-PU25nsData2015v1_76X_mcRun2_asymptotic_v12-v1/MINIAODSIM
Number of events: 988418
dataset=/ZZ_TuneCUETP8M1_13TeV-pythia8/RunIIFall15MiniAODv2-PU25nsData2015v1_76X_mcRun2_asymptotic_v12-v1/MINIAODSIM
Number of events: 985600
dataset=/WZ_TuneCUETP8M1_13TeV-pythia8/RunIIFall15MiniAODv2-PU25nsData2015v1_76X_mcRun2_asymptotic_v12-v1/MINIAODSIM
Number of events: 1000000
Signal Samples (for now)
dataset=/RSGravToZZToZZinv_narrow_M-1000_13TeV-madgraph/RunIIFall15MiniAODv2-PU25nsData2015v1_76X_mcRun2_asymptotic_v12-v1/MINIAODSIM
DATA 2015 - 2016
1. dataset:
/MET/Run2015B-PromptReco-v1/MINIAOD
Creation time: 2015-07-10 00:47:38, Dataset size: 579.2MB, Number of blocks: 7, Number of events: 30011, Number of files: 9, Physics group:
NoGroup, Status: VALID, Type: data
- Runs
- 251161, 251162, 251163, 251164, 251167, 251168, 251244, 251251, 251252
- Config
- cmsRun
Creation time: 2015-07-06 20:53:45, Global Tag: 74X_dataRun2_Prompt_v0, Pset hash: GIBBERISH, Release: CMSSW_7_4_6_patch6
2. Dataset:
/Jet/Run2015B-PromptReco-v1/MINIAOD
Creation time: 2015-07-08 19:23:49, Dataset size: 17.0MB, Number of blocks: 10, Number of events: 15, Number of files: 14, Physics group:
NoGroup, Status: VALID, Type: data
3. dataset=/HTMHT/Run2015B-PromptReco-v1/MINIAOD
Creation time: 2015-07-10 00:44:32, Dataset size: 872.4MB, Number of blocks: 8, Number of events: 43141, Number of files: 9, Physics group:
NoGroup, Status: VALID, Type: data
Runs:
251161,
251162,
251163,
251164,
251167,
251168,
251244,
251251,
251252
Config: cmsRun
Creation time: 2015-07-06 20:53:45, Global Tag: 74X_dataRun2_Prompt_v0, Pset hash: GIBBERISH, Release: CMSSW_7_4_6_patch6
4. Dataset :
/SingleMuon/Run2015B-PromptReco-v1/MINIAOD
Creation time: 2015-07-10 01:35:03, Dataset size: 62.0GB, Number of blocks: 27, Number of events: 3633477, Number of files: 57, Physics group:
NoGroup, Status: VALID, Type: data
5. dataset=/SingleMuon/Run2015B-05Aug2015-v1/MINIAOD
6. dataset=
/MET/Run2015B-05Aug2015-v1/MINIAOD
JSON and/or DSCOnly
For
ReReco data 76X
https://cms-service-dqm.web.cern.ch/cms-service-dqm/CAF/certification/Collisions15/13TeV/Reprocessing/
Others:
https://cms-service-dqm.web.cern.ch/cms-service-dqm/CAF/certification/Collisions15/13TeV
To select some specific run ranges over the json files, see:
https://twiki.cern.ch/twiki/bin/view/CMSPublic/SWGuideGoodLumiSectionsJSONFile#printJSON_py
In our case:
filterJSON.py --min 251161 --max 251562 Cert_246908-254349_13TeV_PromptReco_Collisions15_JSON_v2.txt --output golden17Jul2015.json
filterJSON.py --min 251604 --max 253620 Cert_246908-254349_13TeV_PromptReco_Collisions15_JSON_v2.txt --output goldenpropreco.json
Combining the "17Jul2015 (run<=251562)" +
PromptReco dataset (run>251562)
for MET sample, the runs:
(17JUL2015)
251161, 251162, 251163, 251164, 251167, 251168, 251244, 251251, 251252, 251521, 251522, 251559, 251560, 251561, 251562
(PROMOT-RECO)
251161, 251162, 251163, 251164, 251167, 251168, 251244, 251251, 251252, 251493, 251496, 251497, 251498, 251499, 251500, 251521, 251522, 251548, 251559, 251560
251561, 251562, 251604, 251612, 251638, 251642, 251643, 251721, 251781, 251883, 252102, 252116, 252126, 252488, 252496, 252499, 252501, 253620
acoording with the recipe of MET filter twiki.
Brilcalc
http://cms-service-lumi.web.cern.ch/cms-service-lumi/brilwsdoc.html
How install each time we need:
1.
export PATH=$HOME/.local/bin:/afs/cern.ch/cms/lumi/brilconda-1.0.3/bin:$PATH
2. If we dont have, need to install brilconda
(check before, we have already install)
wget
https://cern.ch/cmslumisw/installers/linux-64/Brilconda-1.0.3-Linux-x86_64.sh
bash Brilconda-1.0.3-Linux-x86_64.sh
3.
pip uninstall -y brilws
4.
pip install --install-option="--prefix=$HOME/.local" brilws
Then use.
How use:
brilcalc lumi --normtag /afs/cern.ch/user/c/cmsbril/public/normtag_json/OfflineNormtagV1.json -i anyjson.txt -u /pb
If want you can change : -u /pb -> -u /fb
If want to include a HLT path use for example:
brilcalc lumi --hltpath "HLT_PFMETNoMu90_JetIdCleaned_PFMHTNoMu90_IDTight_v*" --normtag /afs/cern.ch/user/c/cmsbril/public/normtag_json/OfflineNormtagV1.json -i myjson26Nov.txt -u /fb
For Moriond
brilcalc lumi --hltpath "HLT_PFMETNoMu90_JetIdCleaned_PFMHTNoMu90_IDTight_v*" --normtag /afs/cern.ch/user/l/lumipro/public/normtag_file/moriond16_normtag.json -i myjson26Nov.txt -u /fb
edmDumpeventContent
For MET data:
edm::TriggerResults "TriggerResults" "" "HLT"
HcalNoiseSummary "hcalnoise" "" "RECO"
L1GlobalTriggerReadoutRecord "gtDigis" "" "RECO"
double "fixedGridRhoAll" "" "RECO"
double "fixedGridRhoFastjetAll" "" "RECO"
double "fixedGridRhoFastjetAllCalo" "" "RECO"
double "fixedGridRhoFastjetCentralCalo" "" "RECO"
double "fixedGridRhoFastjetCentralChargedPileUp" "" "RECO"
double "fixedGridRhoFastjetCentralNeutral" "" "RECO"
edm::SortedCollection<EcalRecHit,edm::StrictWeakOrdering<EcalRecHit> > "reducedEgamma" "reducedEBRecHits" "RECO"
edm::SortedCollection<EcalRecHit,edm::StrictWeakOrdering<EcalRecHit> > "reducedEgamma" "reducedEERecHits" "RECO"
edm::SortedCollection<EcalRecHit,edm::StrictWeakOrdering<EcalRecHit> > "reducedEgamma" "reducedESRecHits" "RECO"
edm::TriggerResults "TriggerResults" "" "RECO"
edm::ValueMap<float> "offlineSlimmedPrimaryVertices" "" "RECO"
pat::PackedTriggerPrescales "patTrigger" "" "RECO"
reco::BeamSpot "offlineBeamSpot" "" "RECO"
vector<l1extra::L1EmParticle> "l1extraParticles" "Isolated" "RECO"
vector<l1extra::L1EmParticle> "l1extraParticles" "NonIsolated" "RECO"
vector<l1extra::L1EtMissParticle> "l1extraParticles" "MET" "RECO"
vector<l1extra::L1EtMissParticle> "l1extraParticles" "MHT" "RECO"
vector<l1extra::L1HFRings> "l1extraParticles" "" "RECO"
vector<l1extra::L1JetParticle> "l1extraParticles" "Central" "RECO"
vector<l1extra::L1JetParticle> "l1extraParticles" "Forward" "RECO"
vector<l1extra::L1JetParticle> "l1extraParticles" "IsoTau" "RECO"
vector<l1extra::L1JetParticle> "l1extraParticles" "Tau" "RECO"
vector<l1extra::L1MuonParticle> "l1extraParticles" "" "RECO"
vector<pat::Electron> "slimmedElectrons" "" "RECO"
vector<pat::Jet> "slimmedJets" "" "RECO"
vector<pat::Jet> "slimmedJetsAK8" "" "RECO"
vector<pat::Jet> "slimmedJetsPuppi" "" "RECO"
vector<pat::Jet> "slimmedJetsAK8PFCHSSoftDropPacked" "SubJets" "RECO"
vector<pat::Jet> "slimmedJetsCMSTopTagCHSPacked" "SubJets" "RECO"
vector<pat::MET> "slimmedMETs" "" "RECO"
vector<pat::MET> "slimmedMETsPuppi" "" "RECO"
vector<pat::Muon> "slimmedMuons" "" "RECO"
vector<pat::PackedCandidate> "lostTracks" "" "RECO"
vector<pat::PackedCandidate> "packedPFCandidates" "" "RECO" vector<patN::Photon> "slimmedPhotons" "" "RECO" vector<pat::Tau> "slimmedTaus" "" "RECO"
vector<pat::TriggerObjectStandAlone> "selectedPatTrigger" "" "RECO"
vector<reco::CATopJetTagInfo> "caTopTagInfosPAT" "" "RECO"
vector<reco::CaloCluster> "reducedEgamma" "reducedEBEEClusters" "RECO"
vector<reco::CaloCluster> "reducedEgamma" "reducedESClusters" "RECO"
vector<reco::Conversion> "reducedEgamma" "reducedConversions" "RECO"
vector<reco::Conversion> "reducedEgamma" "reducedSingleLegConversions" "RECO"
vector<reco::GsfElectronCore> "reducedEgamma" "reducedGedGsfElectronCores" "RECO"
vector<reco::PhotonCore> "reducedEgamma" "reducedGedPhotonCores" "RECO"
vector<reco::SuperCluster> "reducedEgamma" "reducedSuperClusters" "RECO"
vector<reco::Vertex> "offlineSlimmedPrimaryVertices" "" "RECO"
vector<reco::VertexCompositePtrCandidate> "slimmedSecondaryVertices" "" "RECO"
ANALISIS NOTE
1. Go to
http://cms.cern.ch/iCMS/jsp/iCMS.jsp?mode=single&block=publication
2. start a note
Title : Search for new VV resonances in jet + MET final states at √s = 13~TeV
Author : Exotica diboson group
Abstract : We discuss the search for heavy BSM resonances in the V+MET channel, where V stands for a hadronically-decaying W/Z boson.
CMS AN-2015/220
3. Ask to
George.Alverson@cern.ch to create an SVN for AN-2015/220"
4. The manual to use the note repository
https://svnweb.cern.ch/cern/wsvn/tdr2/utils/trunk/general/notes_for_authors.pdf
As soon as it is ready, start documenting everything there
CODE IN GIT
https://github.com/dromeroa/EDBR2_Znu
git guide
http://rogerdudler.github.io/git-guide/
Ubication of the code
1. To make the plots in access:
/home/davidromero/LAST_FRAMEWORKS/EDBR2_JOINT_TEST4_JeC/CMSSW_7_4_11_patch1/src/ExoDiBosonResonances/PlottingMacro
2. Location of the data trees in lxplus:
/afs/cern.ch/work/d/dromeroa/private/EDBR_CRAB3_SEP30/CMSSW_7_4_13/src/ExoDiBosonResonances/EDBRTreeMaker/data
3. Location of the trees (2015D 25 ns) in acces:
/home/davidromero/LAST_FRAMEWORKS/EDBR2_JOINT_TEST4_JeC/CMSSW_7_4_11_patch1/src/ExoDiBosonResonances/EDBRTreeMaker/test/trees_2015D_25ns
4. Jets Plots ID
/home/davidromero/LAST_FRAMEWORKS/EDBR2_TEST_JETID/CMSSW_7_4_14/src/ExoDiBosonResonances/EDBRscriptToPlotJetID
5. Location of the plots no jet id in my pc
/home/david/ANALISISTESIS2/PlotsCollections/first_plots_data/nojetid_Oct7
5. Trigger studies
/home/davidromero/Trigger_2015/CMSSW_7_4_7_patch2/src/Trigger_studies/Trigger_test/plugins
6.
MetNoHF
/home/davidromero/LAST_JEC/CMSSW_7_4_11_patch1/src/met_jec/jec
7. To use bricalc
/afs/cern.ch/work/d/dromeroa/private/bricalc/CMSSW_7_4_15/src
Do:
export PATH=$HOME/.local/bin:/afs/cern.ch/cms/lumi/brilconda-1.0.3/bin:$PATH
pip install --install-option="--prefix=$HOME/.local" brilws
pip install --upgrade pip
Instructions to run
brilcalc lumi --normtag /afs/cern.ch/user/c/cmsbril/public/normtag_json/OfflineNormtagV1.json -i YOURJSON.txt
8. Git Location in lxplus
/afs/cern.ch/work/d/dromeroa/private/EDBR_CRAB3_SEP29_GIT/CMSSW_7_4_13/src/
From here do:
git init
9. Treemaker for PHYS14
/home/davidromero/EDBR2_torun_here/CMSSW_7_2_4/src/ExoDiBosonResonances
10. The scripts to make the cuts
/home/davidromero/ANALISIS_TESIS_Zhad_Znunu/CMSSW_7_2_2_patch1/src/ExoDiBosonResonances_original/EDBRCommon/python/simulation/script_tree
cuts_script_3.C
11. New crab 20 Oct with ak4jets:
/afs/cern.ch/work/d/dromeroa/private/EDBR2_ak4_20_Oct/CMSSW_7_4_15/src/ExoDiBosonResonance
12. Alpha Method Background estimation
/afs/cern.ch/work/d/dromeroa/private/ALPHAMETHOD_Enero25/CMSSW_8_0_0_pre5/src/ALPHA_METHOD/
then do:
cmsenv
root -b
gSystem->Load("../PDFs/HWWLVJRooPdfs_cxx.so")
gSystem->Load("../PDFs/PdfDiagonalizer_cc.so")
.x higgscross_shapeAnalysis.C("EHP"); (for example)
13. LAST PLOTS (3 Marzo)
on access : /home/davidromero/LAST_FRAMEWORKS/PLOTS_14Ene_2016/CMSSW_7_4_16_patch2/src/ExoDiBosonResonances/PlottingMacro/
vim loopPlot.C
14. Git for 76x
lxplus : /afs/cern.ch/work/d/dromeroa/private/GIT_76X_EDBR2/CMSSW_7_6_3_patch1/src/ExoDiBosonResonances
From here do:
git init
remember that we are in 76X so do:
git push origin 76X
15. Trigger Report 76X (To find the paths name in data and MC)
access : /home/davidromero/TRIGGERS_74X/CMSSW_7_4_0_pre9/src/trigger74_trigger_report/triggertest
CRAB3
To send CRAB3 produce many trees at the same time
1. Create a CRAB config file for each datasample.
2. Submit the jobs
3. To see the status just do :
crab status EDBR_crab_projects/crab_QCD_700to1000_25ns (for exmple)
STATISTICS (LIMITS)
1. Higgs Combination tool
https://twiki.cern.ch/twiki/bin/viewauth/CMS/SWGuideHiggsAnalysisCombinedLimit
2. CMS DAS : An Introduction to the Statistics Tools
RooFit,
RooStats, and
combine
https://twiki.cern.ch/twiki/bin/view/CMS/SWGuideCMSDataAnalysisSchoolLPC2016Statistics
3. CMS DAS : Statistics
https://twiki.cern.ch/twiki/bin/view/CMS/SWGuideCMSDataAnalysisSchoolStatistics2015LPC
4. WW CMS DAS
https://github.com/kkousour/cmsdas2014
5. Higgs Combination and Properties
https://twiki.cern.ch/twiki/bin/view/CMS/SWGuideCMSDataAnalysisSchool2014HiggsCombPropertiesExercise
6. Discovery of a Higgs boson in ZZ to 4 leptons
https://twiki.cern.ch/twiki/bin/view/CMS/SWGuideCMSDataAnalysisSchoolHZZ4lSearchExercise
7. Statistic Committee
https://twiki.cern.ch/twiki/bin/viewauth/CMS/StatisticsCommittee
8. Statistics FAQ
https://twiki.cern.ch/twiki/bin/viewauth/CMS/StatCom-FAQ
9. Statistics Reference
https://twiki.cern.ch/twiki/bin/viewauth/CMS/StatisticsReferences
10. Statistics committee reccomendations
https://twiki.cern.ch/twiki/bin/viewauth/CMS/StatComRec-Selection
11. Reccomendations for search for new physics
https://twiki.cern.ch/twiki/bin/view/CMS/SearchProcedures
12. Reccomendations for sensitivity and reach of the analysis
https://twiki.cern.ch/twiki/bin/view/CMS/SearchProcedures
STORAGE
To see the files in the storage
srmls srm://osg-se.sprace.org.br:8443/pnfs/sprace.org.br/data/cms/store/user/dromeroa/TT_TuneCUETP8M1_13TeV-powheg-pythia8/crab_EDBR_TTbar_powheg_25ns/151126_215013/0000/...
To remove files from the storage, have to use:
./rmdir.sh srm://osg-se.sprace.org.br:8443/srm/managerv2?SFN=/pnfs/sprace.org.br/data/cms/store/user/dromeroa/ZZJets100to200/...
the rmdir script is in the git
TO DO FITS
1. Go to
/afs/cern.ch/work/d/dromeroa/private/ALPHAMETHOD_Enero25/CMSSW_8_0_0_pre5/src/ALPHA_METHOD/TESTNEWCODE
2. Do "cmsenv" to load root6
3. root -b
4. gSystem->Load("../PDFs/HWWLVJRooPdfs_cxx.so")
5. To make the fits for HP normalization:
.x test01abril.C("HP")
6. To make the fits for LP normalization :
.x test11mayoLP.C("LP")
To make fits and plots for signal
testvectsignalHP.C
testvectsignalLP.C
testWprimeHP.C
testWprimeLP.C
PROBLEMS
1. When use an EDFilter in the main cfg.py have to include the boolean option (
filter = cms.bool(True))
process.goodMET = cms.EDFilter("PATMETSelector",
src = cms.InputTag('slimmedMETs'),
cut = cms.string("pt >40"),
filter = cms.bool(True)
)
2. In case we have problems with
TFileService, always check that:
edm::Service<TFileService> fs;
The service header is included with:
#include "FWCore/ServiceRegistry/interface/Service.h"
#include "CommonTools/UtilAlgos/interface/TFileService.h"
The
BuildFile.xml needs the following dependencies:
<use name="PhysicsTools/UtilAlgos"/>
<use name="FWCore/ServiceRegistry"/>
quota in lxplus
fs listquota
To load the library in root
.x myMacro.cxx+
--
davidromero